Air compressor calculation formula and principle!
As a practicing engineer of air compressors, in addition to understanding the product performance of your company, some calculations involved in this article are also essential, otherwise, your professional background will be very pale.
(Schematic diagram, not corresponding to any specific product in the article)
1. Derivation of unit conversion of “standard square” and “cubic”
1Nm3/min (standard square) s1.07m3/min
So, how did this conversion come about? About the definition of standard square and cubic:
pV=nRT
Under the two states, the pressure, the amount of matter, and the constants are the same, and the difference is only the temperature (thermodynamic temperature K) is deduced: Vi/Ti=V2/T2 (that is, Gay Lussac’s law)
Assume: V1, Ti are standard cubes, V2, T2 are cubes
Then: V1: V2=Ti: T2
That is: Vi: Vz=273: 293
So: Vis1.07V2
Result: 1Nm3/mins1.07m3/min
Second, try to calculate the fuel consumption of the air compressor
For an air compressor with 250kW, 8kg, displacement of 40m3/min, and oil content of 3PPM, how many liters of oil will the unit consume theoretically if it runs for 1000 hours?
answer:
Fuel consumption per cubic meter per minute:
3x 1.2=36mg/m3
, 40 cubic meters per minute fuel consumption:
40×3.6/1000=0.144g
Fuel consumption after running for 1000 hours:
-1000x60x0.144=8640g=8.64kg
Converted to volume 8.64/0.8=10.8L
(The essentiality of lubricating oil is about 0.8)
The above is only the theoretical fuel consumption, in reality it is greater than this value (the oil separator core filter continues to decline), if calculated based on 4000 hours, a 40 cubic air compressor will run at least 40 liters (two barrels) of oil. Usually, about 10-12 barrels (18 liters/barrel) are refueled for each maintenance of a 40-square-meter air compressor, and the fuel consumption is about 20%.
3. Calculation of plateau gas volume
Calculate the displacement of the air compressor from the plain to the plateau:
Citation formula:
V1/V2=R2/R1
V1=air volume in plain area, V2=air volume in plateau area
R1=compression ratio of plain, R2=compression ratio of plateau
Example: The air compressor is 110kW, the exhaust pressure is 8bar, and the volume flow rate is 20m3/min. What is the displacement of this model at an altitude of 2000 meters? Consult the barometric pressure table corresponding to the altitude)
Solution: According to the formula V1/V2= R2/R1
(label 1 is plain, 2 is plateau)
V2=ViR1/R2R1=9/1=9
R2=(8+0.85)/0.85=10.4
V2=20×9/10.4=17.3m3/min
Then: the exhaust volume of this model is 17.3m3/min at an altitude of 2000 meters, which means that if this air compressor is used in plateau areas, the exhaust volume will be significantly attenuated.
Therefore, if customers in plateau areas need a certain amount of compressed air, they need to pay attention to whether the displacement of our air compressor can meet the requirements after high-altitude attenuation.
At the same time, many customers who put forward their needs, especially those designed by the design institute, always like to use the unit of Nm3/min, and they need to pay attention to the conversion before calculation.
4. Calculation of filling time of air compressor
How long does it take for an air compressor to fill a tank? Although this calculation is not very useful, it is quite inaccurate and can only be an approximation at best. However, many users are still willing to try this method out of doubts about the actual displacement of the air compressor, so there are still many scenarios for this calculation.
The first is the principle of this calculation: actually it is the volume conversion of the two gas states. The second is the reason for the large calculation error: first, there is no condition to measure some necessary data on site, such as temperature, so it can only be ignored; second, the actual operability of the measurement cannot be accurate, such as switching to the Filling status.
However, even so, if there is a need, we still need to know what kind of calculation method:
Example: How long does it take for a 10m3/min, 8bar air compressor to fill a 2m3 gas storage tank? Explanation: What is full? That is to say, the air compressor is connected with 2 cubic meters of gas storage, and the gas storage exhaust end valve Close it until the air compressor hits 8 bar to unload, and the gauge pressure of the gas storage box is also 8 bar. How long does this time take? Note: This time needs to be counted from the start of loading the air compressor, and cannot include the previous star-delta conversion or the process of frequency up-conversion of the inverter. This is why the actual damage done on site cannot be accurate. If there is a bypass in the pipeline connected to the air compressor, the error will be smaller if the air compressor is fully loaded and quickly switched to the pipeline for filling the air storage tank.
First the easiest way (estimate) :
Without regard to temperature:
piVi=pzVz (Boyle-Malliot Law) Through this formula, it is found that the change in gas volume is actually the compression ratio
Then: t=Vi/ (V2/R) min
(Number 1 is the volume of the air storage tank, and 2 is the volume flow of the air compressor)
t=2m3/ (10m3/9) min= 1.8min
It takes about 1.8 minutes to fully charge, or about 1 minute and 48 seconds
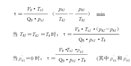
followed by a slightly more complex algorithm
for gauge pressure)
explain
Q0 – Compressor volume flow m3/min without condensate:
Vk – tank volume m3:
T – inflation time min;
px1 – compressor suction pressure MPa:
Tx1 – compressor suction temperature K:
pk1 – gas pressure MPa in the gas storage tank at the beginning of inflation;
pk2 – Gas pressure MPa in the gas storage tank after the end of inflation and heat balance:
Tk1 – gas temperature K in the tank at the start of charging:
Tk2 – Gas temperature K in the gas storage tank after the end of gas charging and thermal equilibrium
Tk – gas temperature K in the tank.
5. Calculation of Air Consumption of Pneumatic Tools
The air consumption calculation method of the air source system of each pneumatic device when it works intermittently (immediate use and stop):

Qmax- the actual maximum air consumption required
Hill – utilization factor. It takes into account the coefficient that all pneumatic equipment will not be used at the same time. The empirical value is 0.95~0.65. Generally, the more the number of pneumatic equipment, the less the simultaneous use, and the smaller the value, otherwise the larger the value. 0.95 for 2 devices, 0.9 for 4 devices, 0.85 for 6 devices, 0.8 for 8 devices, and 0.65 for more than 10 devices.
K1 – Leakage coefficient, the value is selected domestically from 1.2 to 15
K2 – Spare coefficient, the value is selected in the range of 1.2~1.6.
K3 – Uneven coefficient
It considers that there are uneven factors in the calculation of the average gas consumption in the gas source system, and it is set to ensure the maximum usage, and its value is 1.2
~1.4 Fan domestic selection.
6. When the air volume is insufficient, calculate the air volume difference
Due to the increase in air consumption equipment, the air supply is insufficient, and how much air compressors need to be added to maintain the rated working pressure can be satisfied. formula:

Q Real – the air compressor flow rate required by the system under the actual state,
QOriginal – the passenger flow rate of the original air compressor;
Pact – the pressure MPa that can be achieved under actual conditions;
P original – the working pressure MPa that can be achieved by the original use;
AQ- volumetric flow to be increased (m3/min)
Example: The original air compressor is 10 cubic meters and 8 kg. The user increases the equipment and the current air compressor pressure can only hit 5 kg. Ask, how much air compressor needs to be added to meet the air demand of 8 kg.

AQ=10* (0.8-0.5) / (0.5+0.1013)
s4.99m3/min
Therefore: an air compressor with a displacement of at least 4.99 cubic meters and 8 kilograms is required.
In fact, the principle of this formula is: by calculating the difference from the target pressure, it accounts for the proportion of the current pressure. This ratio is applied to the flow rate of the currently used air compressor, that is, the value from the target flow rate is obtained.


